Contact
Projects
Services
Home
Testimonials//
*Sandwich Selectman
*Sandwich Town Hall
*NHDOT Performance Page 1
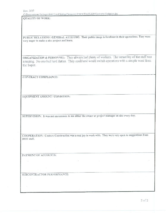
*NHDOT Performance Page 2
*Bickford Place
*Randolph Project
*SAU #20
*Sevee & Maher
*OEST
*NH Fish & Game
*Rite Aid
*Dopp & Dopp
*Banwell
*Jackson Church
*Inn at Thorne Hill
*Morrissette
*Allied
*Wilson
*Horizons
*Berlin City Bank
*Stanley Jones
*Stanley Jones 2
*NE Telephone
*NE Telephone 2
*Dead River
*James River
*Androscoggin
*Sappington
*Bryant Funeral
*Isaccson
*Car Freshener